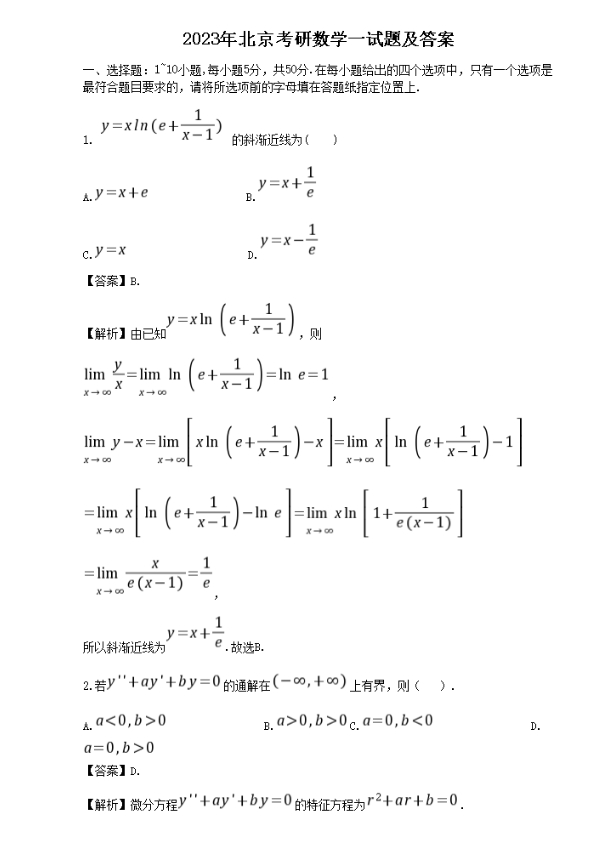
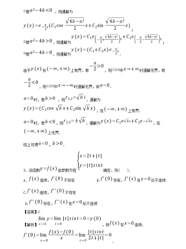
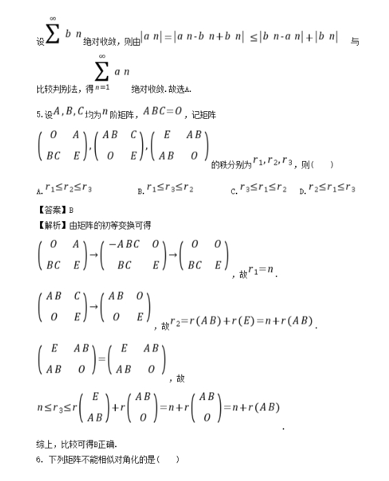
2023年北京考研数学一试题及答案
2023年北京考研数学一试题及答案(含解析)
考研数学(数学一)主要考察的内容包括:高等数学、线性代数、概率论与数理统计、离散数学、常微分方程、数学分析、复变函数等。以下是小编为大家收集的关于2023年北京考研数学一试题及答案的相关内容,供大家参考!
2023年北京考研数学一试题及答案





考研数学考什么?
数一、数二、数三在考试内容上的差别主要体现在考查范围上,其中数学一考查范围最广,数学二考查范围最窄。
具体来说,在高等数学中,数一、数二、数三的主要区别在于:空间解析几何、多元函数积分学(二重积分以外),仅数学一考查;无穷级数,仅数学一、数学三考查;微积分的物理应用,仅数学一、数学二考查;微积分的经济学应用,仅数学三考查。
在线性代数中,数一、数二和数三的考试内容和要求几乎一样,唯一的区别是数学一多了向量空间的内容,这部分考点在考试中涉及得很少,对考生的复习没有实质性影响。
在概率论与数理统计中,数学一的考试范围比数学三略大,主要增加了参数估计部分的考点,包括估计量的评选标准、区间估计以及后续的假设检验。
除了考查范围上的区别以外,在都考查的部分,数一、数二、数三对具体考点的要求基本上是一致的。同时,由于数学二在高等数学中的考查范围较小、 而考的分值又最大,这就导致数学二在高等数学部分的考查相当于数一和数二更细致、更全面、同时也更灵活。但总的来说,数一、数二、数三在共有考点的要求上 的区别并不明显,不需要加以区分。
考研数学备考建议
考研数学备考需要深入理解各个知识点,特别是高等数学和概率论与数理统计部分。建议考生进行系统的知识梳理和反复练习,同时关注数学建模的实际应用,了解各种数学模型的建立与求解方法。此外,关注历年真题和模拟题的做题技巧也是备考的关键之处。
2024考研备考需要多久
国内考研战线长、竞争大、难度高,因此大部分学生会从大三就开始准备考研科目的复习,考研的时间安排一般也要预留半年到一年,具体规划包括——
3月-6月:确定考研目标院校和专业,准备好考研资料,可以开始进入英语、数学复习;
7月-8月:暑假期间主要针对基础复习或强化复习,开始进入专业课程复习;
9月-10月:结合新出的考研大纲查漏补缺,开始进入政治课程复习;
11月:政治、英语、数学、专业课进入冲刺复习,关注考试题型的预测信息;
12月:模拟实训,查漏补缺,做好考前准备。
2023年北京考研数学一试题及答案相关文章:
★ 硕博招生 | 解熙莹:在宁诺读研,我既能深入学术海洋,也能直面职业未来
★ 黑龙江:刘志达检查指导2026年硕士研究生招生考试评卷工作
★ 国务院学位委员会关于印发《博士硕士学位授予资格审核办法》的通知
★ 江苏海洋大学高质量地完成2026年全国硕士研究生招生考试初试考点工作
2023年北京考研数学一试题及答案
上一篇:南昌大学2024考研招生计划
下一篇:2022考研政治试卷真题带答案
