2022年全国乙卷高考数学(文科)试卷及答案
更新时间:
2022年全国乙卷高考数学(文科)试卷



由于内容较多,无法全部呈现出来,如需《2022年全国乙卷高考数学(文科)试卷》请大家关注公众号“高中生学习方法”,(ID:gzsxxff),回复:高考真题,找到所需试卷答案,即可下载。
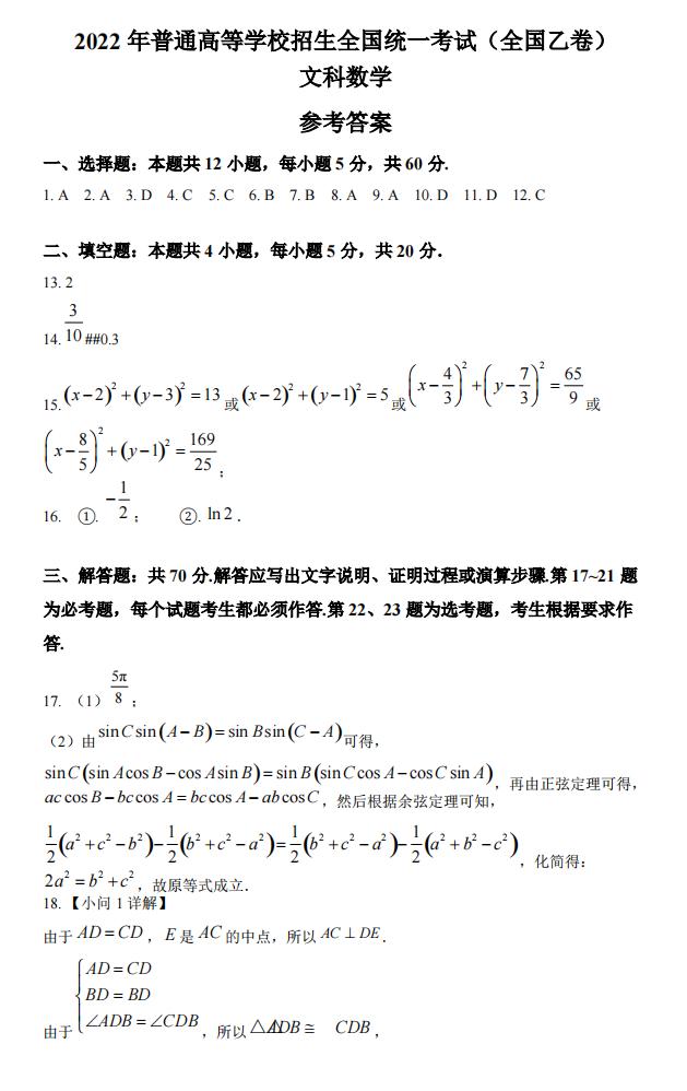
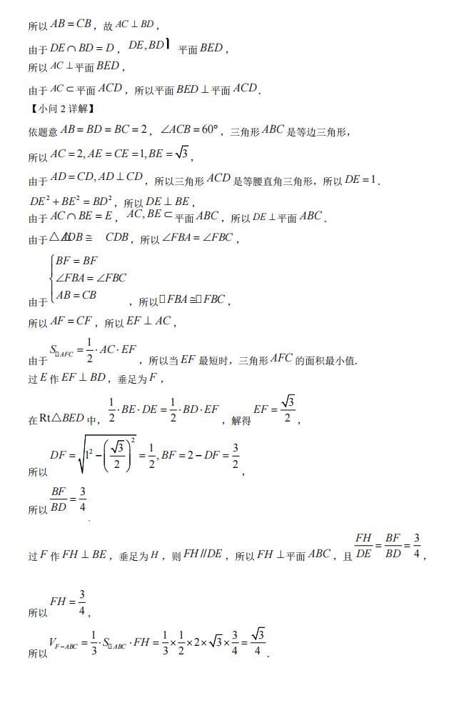
2022年全国乙卷高考数学(文科)答案解析


2022年全国乙卷高考数学(文科)试卷及答案相关文章:
2022年全国乙卷高考数学(文科)试卷及答案
2022年全国乙卷高考数学(文科)试卷由于内容较多,无法全部呈现出来,如需《2022年全国乙卷高考数学(文科)试卷》请大家关注公众号“高中生学习方法”,(ID:...
推荐度:
点击下载文档文档为doc格式
上一篇:宇宙里真的有光之国吗
下一篇:关于感恩的名言和名句
